伍建华
2020年12月09日
访问量:
基于之前的研究工作(Phys. Rev. D, 101 (2020) 056021),近日,黄柏林博士团队利用SU(3)重重子手征微扰论(Chiral Perturbation Theory, ChPT),把π介子-核子(πN)散射振幅计算到了第四阶,相关成果以“Pion-nucleon scattering to order p4 in SU(3) heavy baryon chiral perturbation theory”为题,发表在国际物理期刊Physical Review D上。
ChPT是用来研究强子物理、强子相互作用等低能粒子物理问题的一个强大工具,它能够让作为描述强相互作用的量子色动力学(Quantum Chromodynamics, QCD)在低能区域得到一定程度上的应用。然而由于ChPT不是由一个小相互作用常数微扰展开,其收敛性就需要进一步进行验证;并且由于计算阶数的升高,更多的低能常数也需要通过实验数据进行精确的确定。利用介子与重子的相互作用来研究手征微扰论的收敛性以及确定其中的低能常数是一个不错的选择。
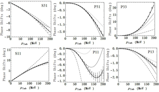
本工作通过利用来自Roy-Steiner(RS)方程的精确πN散射相移数据,确定了相关低能常数。利用这些低能常数,得到了与实验数据一致的散射长度和散射体积,本工作对次阈值也作了详细的讨论。基于散射相移、阈值和次阈值,对手征展开式的收敛性做了深入的讨论。
该工作得到了国家自然科学基金(11947036)的支持。
[1] Bo-Lin Huang. Pion-nucleon scattering to order p4 in SU(3) heavy baryon chiral perturbation theory. Phys. Rev. D, 102 (2020) 116001. arxiv: 2007.01173.
论文链接: https://journals.aps.org/prd/abstract/10.1103/PhysRevD.102.116001

【关闭】